确认需要进行放电测试的蓄电池组是否与放电仪电压等级一致!
在与智能放电监测仪进行连接前,首先确认放电电池组是否已经退出运行状态,是否已经与充电电源和负载断开。以免在放电过程中发生意外。
检查电池组及智能放电监测仪周围是否有足够场地,场地周围是否存在易燃易爆物品,空气中是否存在易燃易爆气体。
检查智能放电监测仪是否完好,电源开关是否在断开状态。
工作周围不得存在易燃易爆物品,空气中不得含有易燃易爆气体,防止爆炸的发生!

首先连接电池组放电电缆。黑色放电电缆大测试夹一端连接电池组负极,另一端快接插头连接智能放电监测仪黑色快接插座。红色放电电缆大测试夹一端连接电池组正极,另一端快接插头连接智能放电监测仪红色快接插座。注意连接可靠,不要有松动现象。快接接头与快接插座连接好后,需要顺时针方向旋转以防脱落!放电结束取下时逆时针旋转。
连接放电电缆和电压测试线时,注意安全,防止触电和短路的发生!
如果需要AC220V供电,则需要使用电源线连接市电,并把工作电源转换开关置于交流供电档,否则转换开关置于直流供电档。
如果有并机或使用外设放电检测功能,则需连接电流传感器。
不同的测试线。如果单节电池电压是2V、4V,则使用测量2V、4V的测试
线;如果单节电池电压是12V、6V,则使用测量12V、6V的测试线。每个
采集盒可以测量12节2V、4V电池,4节6V、12V电池。
测量12V、6V电池时采集线接法:(每条采集线上都标有数字)
图3.1 12V或者6V单个数据采集盒接线图
测量2V、4V电池时采集线接法:
图3.2 2V或者4V单个数据采集盒接线图
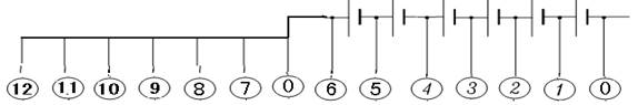
如果电池数少于1个采集盒能采集的相应电池数时,把剩余的采集线接到最后一节电池,接法如下。例:测量24V/12V电池组时
1#采集盒
例:测量24V/4V电池组时
1#采集盒
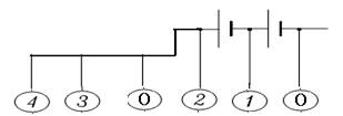
如果电池数超过每个采集盒能采集的相应电池数,则需要使用多个数据采集盒。下图是多个12V电池的连接方式,2V、4V、6V电池连接同理:
N#数据采集盒 -- -- -- -- -- 2#数据采集盒 1#数据采集盒
图3.3 多个数据采集盒接线图
因为一个采集盒能接的电池数有限,当电池数量多余,只有最后一个采集盒的接法不同,其它采集盒接法按图3.3接即可。如下图3.4所示,最后一个采集盒的接法应该是,最后一条线M号(采集线上所标的最大的一个数字)接在最后一个电池(N号)的正极,第M-1号线接在前一个电池(N-1号)电池的正极,如此类推直至接完此采集盒的其他线。下面以12V电池为列(2V、4V、6V同理),接线方法如下:
N#数据采集盒 (N-1)#数据采集盒 -- -- -- -- -- 2#数据采集盒 1#数据采集盒
(最后一个采集盒) .
图3.4 电池数量有多余时采集盒接线图
如果需要通过PC机进行实时监测,则需要连接数据通讯终端。数据通讯终端与PC机串口进行连接。终端专用电源输入接市电交流220V,输出接通讯终端电源插口。打开电源开关。PC机运行监控软件即可。
检查接线正确无误后,打开电源开关,液晶屏应显示正常后,即可根据操作说明放电管理完成各种测试/放电参数的设置。